arviz.plot_ts#
- arviz.plot_ts(idata, y, x=None, y_hat=None, y_holdout=None, y_forecasts=None, x_holdout=None, plot_dim=None, holdout_dim=None, num_samples=100, backend=None, backend_kwargs=None, y_kwargs=None, y_hat_plot_kwargs=None, y_mean_plot_kwargs=None, vline_kwargs=None, textsize=None, figsize=None, legend=True, axes=None, show=None)[source]#
Plot timeseries data.
- Parameters:
- idata
InferenceData
arviz.InferenceData
object.- y
str
Variable name from
observed_data
. Values to be plotted on y-axis before holdout.- x
str
,Optional
Values to be plotted on x-axis before holdout. If None, coords of
y
dims is chosen.- y_hat
str
, optional Variable name from
posterior_predictive
. Assumed to be of shape(chain, draw, *y_dims)
.- y_holdout
str
, optional Variable name from
observed_data
. It represents the observed data after the holdout period. Useful while testing the model, when you want to compare observed test data with predictions/forecasts.- y_forecasts
str
, optional Variable name from
posterior_predictive
. It represents forecasts (posterior predictive) values after holdout period. Useful to compare observed vs predictions/forecasts. Assumed shape(chain, draw, *shape)
.- x_holdout
str
,Defaults
to
coords
of y. Variable name from
constant_data
. If None, coords ofy_holdout
or coords ofy_forecast
(either of the two available) is chosen.- plot_dim: str, Optional
Should be present in
y.dims
. Necessary for selection ofx
ifx
is None andy
is multidimensional.- holdout_dim: str, Optional
Should be present in
y_holdout.dims
ory_forecats.dims
. Necessary to choosex_holdout
ifx
is None and ify_holdout
ory_forecasts
is multidimensional.- num_samples
int
, default 100 Number of posterior predictive samples drawn from
y_hat
andy_forecasts
.- backend{“matplotlib”, “bokeh”}, default “matplotlib”
Select plotting backend.
- y_kwargs
dict
, optional Passed to
matplotlib.axes.Axes.plot()
in matplotlib.- y_hat_plot_kwargs
dict
, optional Passed to
matplotlib.axes.Axes.plot()
in matplotlib.- y_mean_plot_kwargs
dict
, optional Passed to
matplotlib.axes.Axes.plot()
in matplotlib.- vline_kwargs
dict
, optional Passed to
matplotlib.axes.Axes.axvline()
in matplotlib.- backend_kwargs
dict
, optional These are kwargs specific to the backend being used. Passed to
matplotlib.pyplot.subplots()
.- figsize
tuple
, optional Figure size. If None, it will be defined automatically.
- textsize
float
, optional Text size scaling factor for labels, titles and lines. If None, it will be autoscaled based on
figsize
.
- idata
- Returns:
- axes:
matplotlib
axes
orbokeh
figures.
- axes:
See also
Examples
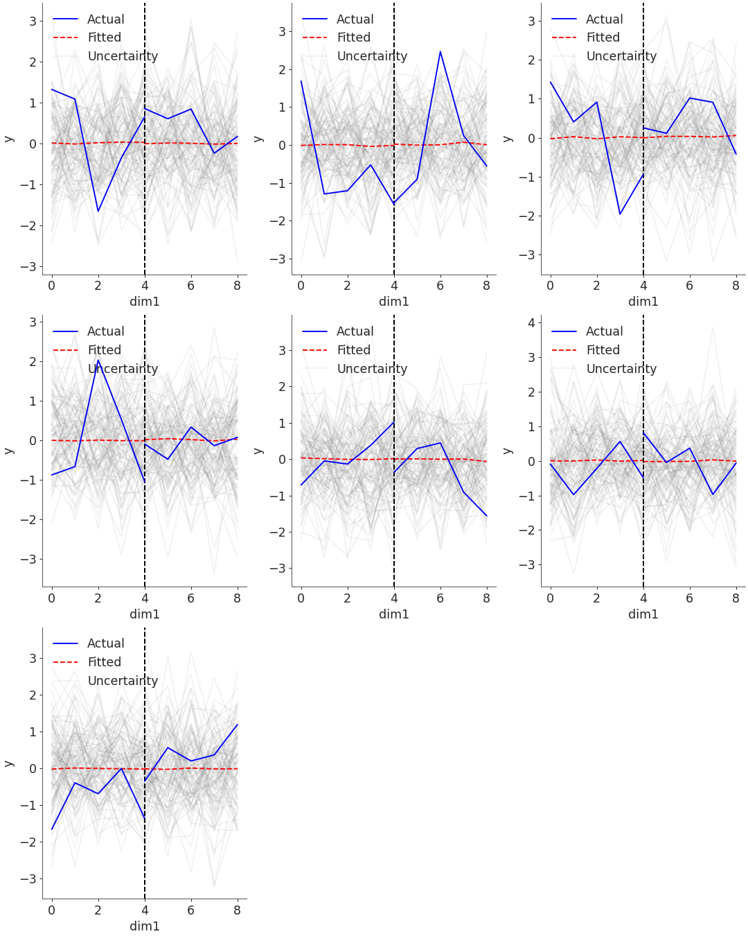
Plot timeseries default plot
>>> import arviz as az >>> nchains, ndraws = (4, 500) >>> obs_data = { ... "y": 2 * np.arange(1, 9) + 3, ... "z": 2 * np.arange(8, 12) + 3, ... } >>> posterior_predictive = { ... "y": np.random.normal( ... (obs_data["y"] * 1.2) - 3, size=(nchains, ndraws, len(obs_data["y"])) ... ), ... "z": np.random.normal( ... (obs_data["z"] * 1.2) - 3, size=(nchains, ndraws, len(obs_data["z"])) ... ), ... } >>> idata = az.from_dict( ... observed_data=obs_data, ... posterior_predictive=posterior_predictive, ... coords={"obs_dim": np.arange(1, 9), "pred_dim": np.arange(8, 12)}, ... dims={"y": ["obs_dim"], "z": ["pred_dim"]}, ... ) >>> ax = az.plot_ts(idata=idata, y="y", y_holdout="z")
Plot timeseries multidim plot
>>> ndim1, ndim2 = (5, 7) >>> data = { ... "y": np.random.normal(size=(ndim1, ndim2)), ... "z": np.random.normal(size=(ndim1, ndim2)), ... } >>> posterior_predictive = { ... "y": np.random.randn(nchains, ndraws, ndim1, ndim2), ... "z": np.random.randn(nchains, ndraws, ndim1, ndim2), ... } >>> const_data = {"x": np.arange(1, 6), "x_pred": np.arange(5, 10)} >>> idata = az.from_dict( ... observed_data=data, ... posterior_predictive=posterior_predictive, ... constant_data=const_data, ... dims={ ... "y": ["dim1", "dim2"], ... "z": ["holdout_dim1", "holdout_dim2"], ... }, ... coords={ ... "dim1": range(ndim1), ... "dim2": range(ndim2), ... "holdout_dim1": range(ndim1 - 1, ndim1 + 4), ... "holdout_dim2": range(ndim2 - 1, ndim2 + 6), ... }, ... ) >>> az.plot_ts( ... idata=idata, ... y="y", ... plot_dim="dim1", ... y_holdout="z", ... holdout_dim="holdout_dim1", ... )